トップページ > なんでも探検隊 > 現象から方程式、そして数学へ ~現象の理解を目指して~

なんでも探検隊

現象から方程式、そして数学へ~現象の理解を目指して~

2017年11月17日
大分大学 理工学部
共創理工学科 数理科学コース

 自然界に現れる現象を数学を用いて研究する手段として、対象とする現象を記述する微分方程式(関数の導関数を含む方程式)を解析することが挙げられます。しかしその構造の複雑さから、方程式の解を数式で表現することは非常に困難です。

 現象を技術に応用する観点から見ると、考察したい現象は確かに存在し、それらが一定の秩序に従って予測可能であることを保障できるかが重要な問題です。これを数学的な立場から見ると、「現象に対応する微分方程式の解が唯一つ存在し、初期状態からの変化に連続的に依存するか」という「適切性」と呼ばれる問題に置き換わります。

 本研究室では、現象を記述する微分方程式を数学を用いて解析しています。現在は以下のような問題に取り組んでおり、「どのような設定の下で適切になるか」や「どのように数値計算すればパソコンでシミュレーションできるか」について研究しています。

1. 群集動態

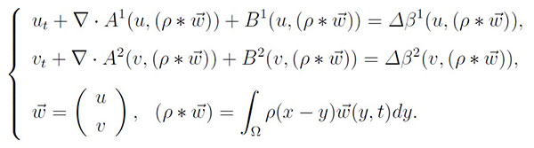
 人や動物等の群れが動く際には、様々なパターンの形成に加え、パニックやラッシュといった特異な現象が発生することが知られています。例えば2つのグループに分かれた群衆の挙動を記述する微分方程式として、次が挙げられます。

天然有機分子の合成と創薬への展開

 ここでΩは2次元の領域を表します。方程式の解u=u(x,t)、v=v(x,t)は空間の位置を表す変数xと時間を表す変数tを持った多変数関数で、それぞれのグループの群衆の密度を表します。方程式内の下付きtや三角形▽、△はそれぞれ時間に関する1階微分、空間に関する1階微分、2階微分を表します。これは多変数関数の微分である偏微分と呼ばれるものです。方程式の左辺第1項は時間変化、第2項は移流(流れ)、第3項は増減、右辺は拡散(広がる)効果をそれぞれ表現しています。

 この連立方程式の特徴は積分で与えられる非局所量に関して方程式が連立していることです。この非局所量は周辺密度を表します。通常、微分方程式はある点における(局所的な)情報を基に、その後の挙動を決定します。しかし群衆動態を考える際には、適した設定とはいえません。(人や動物が動く際には、少し離れたところの様子を見て、次の行動を決めます。)方程式を非局所量に依存させることにより、ある点周辺の情報を考慮することが可能になります。現在は関数の概念を拡張することで、パニック現象を数学的に表現することを目標にしています。

2. 交通流

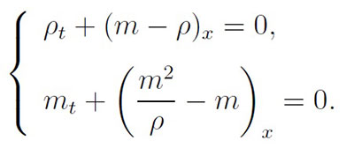
 道路上を車が動いていく様子を「流れ」と捉えることで、例えば以下の連立微分方程式が導かれます。

天然有機分子の合成と創薬への展開

 方程式の解ρは車の密度(交通流密度)、mは運動量を想定した保存量を表します。交通流を記述する微分方程式は多数与えられていますが、現実の交通状況は非常に複雑なため、全ての状況に対応できる方程式を導くことは非常に困難です。現在は密度の大きさに応じて方程式を変える(相分離が起きる)手法に注目し、渋滞が発生するメカニズムを数学的に理解することを目標にしています。

※このページに含まれる情報は、掲載時点のものになります。

関連記事

2016-11-07

おもしろ科学実験室(工学のふしぎな世界)

スクイーク(Squeak)でプログラムを作ってみよう!

山口大学工学部

2024-04-05

おもしろ科学実験室(工学のふしぎな世界)

物質の粘弾性を模型で再現しよう

東京農工大学工学部

2021-11-19

環境への取り組み

環境に優しいロボットの実現を目指して

電気通信大学情報理工学域

2016-08-29

おもしろ科学実験室(工学のふしぎな世界)

「回転のしにくさ・止めにくさ」を見てみよう

北見工業大学工学部

2024-08-09

生レポート!卒業生の声

「土木」って面白い!「新しい建設業」を盛り上げよう!

名古屋工業大学工学部

2010-01-25

環境への取り組み

ナノテクノロジーを使ってクールアース50(低炭素社会)の実現を目指す!

山口大学工学部

大分大学
理工学部

  • 創生工学科 機械コース
  • 創生工学科 電気電子コース
  • 創生工学科 福祉メカトロニクスコース
  • 創生工学科 建築学コース
  • 共創理工学科 数理科学コース
  • 共創理工学科 知能情報システムコース
  • 共創理工学科 自然科学コース
  • 共創理工学科 応用化学コース

学校記事一覧

なんでも探検隊
バックナンバー

このサイトは、国立大学56工学系学部長会議が運営しています。
(>>会員用ページ)
私たちが考える未来/地球を救う科学技術の定義 現在、環境問題や枯渇資源問題など、さまざまな問題に直面しています。
これまでもわたしたちの生活を身近に支えてきた”工学” が、これから直面する問題を解決するために重要な役割を担っていると考えます。